一品楼品凤楼论坛最新动态,一品阁茶楼论坛官网入口,栖凤阁论坛(全国信息),一品楼ypl论坛官网

?
新品降临——DFB-2000近红外激光驱动器
首页 - 激光传感组件 - 应用 - 新品降临——DFB-2000近红外激光驱动器


简介:


海尔欣科技推出新一代激光器驱动器DFB-2000,多种开箱即用的功能可以帮助用户快速搭建系统光源,实现精密的光学测量。本篇将介绍DFB-2000核心性能参数的测试结果。


? 集成低噪声的电流源和高稳定的TEC温度控制器

自带14pin蝶形安装座,更好的便携性和机械稳定性

? 全新的彩色触摸屏,便于激光器工作参数的观察和设置

? 多层级的?;ご胧┤繁<す馄鞯陌踩映ぜす馄鞯氖褂檬倜?




技术参数:

电流噪声密度:

电流噪声密度是表征驱动器电流源噪音水平的核心指标。对于低噪声的电流源而言,电流的波动比实际电流要小10000甚至100000倍以上。为了测试如此微小的电流波动,我们搭建了1所示的电路。

DFB-2000近红外激光驱动器电流噪声密度测试电路 

1.电流噪声密度测试电路示意图


DFB-2000输出的电流I经过精密电阻R后转换为电压信号Vin,并由增益为G的放大电路放大后输入频谱仪,2给出了频谱仪测试的结果。图中黄色信号为频谱仪本底频谱响应曲线,绿色信号是放大器(输入端短接)连接频谱仪时的频谱响应曲线,当DFB-2000输出电流后频谱响应为蓝色信号。根据功率噪声密度计算公式以及电路传输特性,可以计算得到电流噪声密度约为2.9 nAHz,这与进口驱动器的噪声水平相当。电流噪声密度的详细计算方法请参考海尔欣科技公众号的推送——海尔欣HPPD-M-B探测器性能介绍。

DFB-2000近红外激光驱动器频谱噪声测试结果 

2.DFB-2000频谱噪声测试


控温稳定性:

激光器工作温度的变化会导致输出波长的不稳定, 因此精确稳定地控制激光器工作温度至关重要。为了评估DFB-2000的控温性能,在室温条件下,将激光器工作温度设定在0℃,记录24小时内的温度变化,如3所示??梢钥闯?b>DFB-2000的温度控制精度在±0.005以内,长期温度稳定性优于0.01。由于0℃与环境温度相差较大,因此可以预期当激光器工作温度接近室温时,可以现实更优的长期温度稳定性。

DFB-2000驱动近红外激光器在24小时内的工作温度变化 

3.激光器工作温度在24小时内的变化



电流漂移:

在典型的应用环境中,一天之内的温度波动往往会超过几摄氏度。如果驱动器达不到要求,微小的温度变化可能意味着激光器的电流会发生显著变化。下图展示了利用DFB-2000驱动的激光器工作在0℃时工作电流的漂移。在24小时内,测试环境的温度变化超过3℃,激光器电流的最大漂移为37 μA

DFB-2000近红外激光驱动器24小时内的输出电流 

4.DFB-2000输出电流24小时的漂移



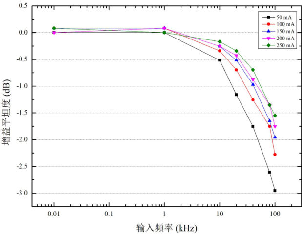
3dB带宽:

小信号调制时的3dB带宽是衡量驱动器带宽响应特性的关键参数。下图给出了带宽响应测试的电路图。

DFB-2000半导体激光器屏显驱动带宽响应测试电路示意图 

5. DFB-2000带宽响应测试电路示意图

函数发生器生成的正弦信号Vin通过模拟调制端口输入DFB-2000,电流I经过精密电阻R,测量R两端电压信号Vout,利用公式20log(Vout/Vin)计算得到带宽,如6所示。在100kHz调制频率以内,驱动器的增益平坦度小于-3dB,因此能够满足绝大多数基于波长调制技术的TDLAS系统的需求。

DFB-2000近红外激光驱动器带宽响应特征 

6. DFB-2000带宽响应特性

电流软钳制:

DFB-2000集成了多重措施?;ぜす馄鞯陌踩缱畲蟮缌魅砬?、输出缓启动、过压欠压保护、超温?;ぁ⒓痰缙鞫搪肥涑霰;さ?。其中最大电流软钳制功能可以快速实现电流的钳位,有效规避异常情况下大电流对激光器造成的损伤。


用户在使用最大电流软钳制功能时,首先要根据激光器参数设置对应的最大工作电流,当激光器实际电流高于该电流时,DFB-2000会确保电流处于限流值。电流软钳制的测试电路与3dB带宽测试相同。7b显示了最大电流软钳制的实际效果,可以明显的看到,当精密电阻R两端电压(红色信号)超过阈值时,会被固定在该阈值电压上。图中调制信号(蓝色三角波)幅度为1.54V,当激光器工作电流为200mA,设置的最大工作电流为250mA时,测试得到钳制电压为2.42V(DFB-2000模拟调制系数为100mA/V±5%),对应钳制电流为242mA,与实际设定值一致。

DFB-2000近红外激光驱动器电流软钳制测试结果 

7.a)电流工作在最大钳制电流以下(b)最大电流软钳制的实际测试效果

?
宁波海尔欣光电科技有限公司 版权所有 备案号:浙ICP备20026509号-2 sitemap