一品楼品凤楼论坛最新动态,一品阁茶楼论坛官网入口,栖凤阁论坛(全国信息),一品楼ypl论坛官网

?
09
2021-08

文章推荐 | 如何理解光学中的锁相放大器的工作原理

Author:admin

      随着科技的进步,人们想要了解的现象越来越精细、想测量的信号也越来越微弱。多亏有了锁相放大器(phase lock-in amplifier),如今即使噪声比信号强过数个数量级,我们仍然可以从极其嘈杂的环境中提取具有已知载波的调制信号。

      试想我们应该如何从杂乱无章的噪声中提取我们所需的信号?最直观的线性放大器能够将很小的信号放大,却同时也将噪声放大。如果再加上一个针对信号频率的滤波器滤除其他频率的噪声,看似可以解决不少问题,然而若是滤波器带宽太大,信号频率附近的噪声还是会一起输出,甚至掩盖信号,想要实现极窄的滤波器带宽又是另一个十分复杂的技术难题。

      锁相放大器应用了相敏检测(phase-sensitive detection, PSD)的技术,可以测量非常微弱的连续周期性信号。相对于噪声,连续周期性信号具有固定的频率和相位,相敏检测技术针对这个特性,利用具有同样频率的参考信号来抽取目标的周期性信号,便可以大大降低噪声的影响。

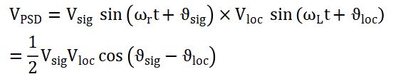
      在实际操作中,我们需要产生一个具有特定频率ωr的参考信号作为载波(使用函数发生器或其他方法),并用此信号对目标信号进行调制,使目标信号具有相同的频率。我们可以将调制过的信号表示为Vsig sin(ωrt+Θsig),其中Vsig为信号强度、Θsig为相位。同时,锁相放大器根据输入的参考信号,产生一个内部本振信号Vloc sin(ωLt+Θloc)。将这两个信号相乘,我们将得到两个频率分别为(ωrL)(ωr-ωL)的交流信号:

锁相放大器的数学原理

      由于ωrL,此信号经过低通滤波器后,我们会得到一个直流信号:

锁相放大器的数学原理

      若要稳定获得信号,Θsig Θloc之间的相位差必须始终保持一致,这需要由锁相放大器中的锁相环(phase-lock loop)来动态锁定外部参考信号,确保内部信号的频率与外部参考信号的频率相同(即ωrL),并维持固定的Θsigloc相位差。

典型的锁相放大器工作原理 

一个典型的锁相放大器工作原理

      锁相放大器经过相敏检波后的低通滤波器的参数选择也很重要。低通滤波的作用不仅仅是过滤掉上述的合频信号,同时也决定着进入到解调结果输出的噪声带宽。因此,一般的锁相放大器的低通滤波器带宽是可以调整的,带宽愈小,输出噪声愈小,解调信噪比越高,但是,若是滤波带宽调整得过低,可能会使解调信号的高频部分衰减,造成信号失真。在早期的模拟电子锁相电路中,低通滤波器的带宽调整是由电容的积分时间来决定的。现代的锁相放大器多是由数字电路(滤波器)来实现,用积分时间这个指标来表示滤波器带宽的传统,仍然保留至今。


锁相放大器在TDLAS技术中的应用

      昕虹光电深耕于可调谐半导体激光吸收光谱(Tunable Diode Laser Absorption Spectroscopy,简称 TDLAS)技术 ,是一种利用分子选频吸收形成吸收光谱的原理,实现高分辨率的分子浓度定量分析技术。TDLAS通常与波长调制光谱技术Wavelength Modulation Spectroscopy,WMS)结合应用,通过选择调制频率来抑制激光噪声和光电探测器电子噪声,再利用相敏锁相检测技术即锁相放大),得到与被测气体浓度成正比的谐波信号,从而有效提高测量系统的灵敏度。

      面对TDLAS系统中对锁相放大器的需求,昕虹光电HPLIA微型双通道调制解调锁相放大器以当今FPGA +ARM单片机的业界流行配置而设计。浮点数数字信号处理的计算任务由FPGA硬件加速完成,而结果数据采集和上位机交互由ARM单片机处理。为了提高性价比,系统以独立双输入输出通道为原则设计,从而在单板上实现双路锁相通道的应用。比如,一路通道可用作测量信号,而另一路可用作参考信号;亦或一路做一次谐波解调,而另一路做二次谐波解调??悸怯没褂蒙系谋憷裕?/span>HPLIA集成了信号发生功能,同时作为调制信号(上文中载波)和内部参考信号,无需锁相环便可以保证两路信号同频同相。

昕虹光电HPLIA微型双通道调制解调锁相放大器

图二 昕虹光电HPLIA微型双通道调制解调锁相放大器

      这里我们演示HPLIA锁相放大器如何被应用到TDLAS+WMS系统中。实验使用了760nm的激光二极管和硅探测器,目标气体为氧气,吸收池有效光程约为 3 米。系统的入射激光的调制信号DDS_DACs由锁相放大器输出,包含正弦调制波形和波长扫描锯齿波。同时,锁相放大器接收经放大的光电探测器信号(LIA1 input)。最终解调信号通过AUX_DACs以模拟形式输出,或者作为数字形式通过UART/USB 传送到PC,提供用户实时、灵敏的气体光谱测量数据。

昕虹光电HPLIA锁相放大器应用于TDLAS+WMS系统

图三 昕虹光电HPLIA锁相放大器应用于TDLAS+WMS系统

利用HPLIA锁相放大器解调的二次谐波信号

图四 利用HPLIA锁相放大器解调的二次谐波信号


了解更多产品信息,请访问:

http://m.zivjuss.cn/jiguang/products/15.html

?
宁波海尔欣光电科技有限公司 版权所有 备案号:浙ICP备20026509号-2 sitemap
src="http://m.zivjuss.cn/js/common.js">